Abbildung 4. Zeitabhängigkeit der Matrix Gitterkonstante, die aus den in situ XRD Messungen bei 700 gewonnen wird ◦ C. Wir beobachteten eine monotone Abnahme des Gitterparameters, was darauf hindeutet, dass schwere Elemente wie Nb und Mo allmählich vom Feststoff diffundieren.-Lösungsmatrix und Beitrag zur Nukleation und zum Wachstum in der Phase des Kombi948s. Die in dieser Zahl gemeldeten Unsicherheiten und im Folgenden eine Standarderklärung, sofern nichts anderes bestimmt ist.
Zusätzlich ist die Änderung des Matrix Gitterparameter eines Festkörpers-Legierung der Lösung ist mit dem Ausmaß des Niederschlags verbunden [40]. Bei AM IN625 ist der Unterschied der Gitterparameter vor und nach einer 10 h Wärmebehandlung bei 870 ◦ C war ≈ 0.0042 in Einzelteilen;21. Im Vergleich wurde der Gitterparameter durch ≈ 0.0015 im Einzelbereich 1977;nach einer 10.5 h Wärmebehandlung bei 700 ◦ C, was deutlich weniger Niederschlag in der 948Phase bedeutet;in dieser Temperierungnatürlich.
IN625, wie konzipiert, ist eine-wher der Phasenlegierunge die Festigkeit stammt hauptsächlich von der festen Lösung, die von Mo, Nb und Cr [1] verstärkt wird. Wohine Da die Abnahme von Mo und Nb aus der Matrix voraussichtlich die Festigkeit verringern wird, kann die Bildung von Niederschlägen diese Reduktion kompensieren und die Gesamtkraft von IN625 erhöhen. Zum Beispiel erreicht das Roh-IN625 seine Spitzenhärte nach einer 170 h-Wärmebehandlung bei 700 ◦ C, die isthauptsächlich aufgrund des Niederschlags der Phase 947; ein Vorläufer der Phase im Bereich der Ebene der Ebene der Ebene der Anonymität 948; 41]. In ähnlicher Weise erhöht der Niederschlag der Phase im Bereich der Kombi948auch die Gesamtfestigkeit und verringert die Zähigkeit [37]. Für AM IN625 ist eine systematische Bewertung der Auswirkung der Wärmebehandlung auf mechanische Eigenschaften über eine Reihe von Temperaturen erforderlich und erforderlich.Nein.
Während der Wärmebehandlung ändert sich auch die Unit-Zelle der 948Phase. Abbildung 5 veranschaulicht diese Veränderung. Unter den drei orthorhombischen Gitterparametern sind zwei nahezu konstant bei ≈ 5.108 im Einzelbereich und ≈ 4.232 in Einzelteilen; Der dritte Gitterparameter zeigt eine monotone Zunahme von ≈ 4.482 bis ≈ 4.488 in Einzelteilen; Es ist bekannt, dass die Längsachse der 948Phase mit der Schlussachse übereinstimmt.-eingepackte Richtungen der FCC-Matrix und die kristallographischen Ausrichtungen zwischen der FCC-Matrix und der Kombi948Phase folgen {111}FCC//(100)948und FCC//[100]deckungsgleich [10]. Auf dieser Grundlage folgern wir, dass die Diffusion von Nb und Mo auch Richtungswechsel hat. Da die Mo-Diffusion von der Matrix in die Kombikino-Phase langsamer verläuft als die von Nb [42], kann diese Richtdiffusion zu einer Veränderung der Anonym-948Phasenchemie und einer Erhöhung des Stückzellvolumens führen, wie in Abbildung 5d dargestellt.
Abbildung 5. (a) Zeitabhängigkeit der drei Gitterparameter der Stufenausfällungen, die aus den Messungen in situ XRD bei 700 gewonnen wurden ◦ C. (d) Das Volumen der Unit-Zelle der Kombi948fällt aus;Nein.
In situ liefern SAXS-Daten, die bei der isothermischen Wärmebehandlung mit demselben Probenvolumen gewonnen wurden, auch ein Fenster, um die statistisch signifikante Transformationskinetik des Materials zu untersuchen. Abbildung 6 zeigt den kompletten Datensatz, wobei die USAXS-Daten die Hauptartikel und die SAXS-Daten im Inset dargestellt sind. Für Konsistenz sind die Streudaten farbig-kodiert mit der gleichen Farbskala wie die XRD-Daten in Abbildung 3. Die Streudaten haben drei auffällige Merkmale. Erstens, für die sehr niedrigen-q Teil der Streudaten ( ≈ 1 €215; 10 − 4 im Kombibereich 1977; − 1 bis ≈ 4 215Zimmer; 10 − 4 im Kombibereich 1977; − 1), wir beobachteten eine Kraft-Rechtsweg, der sich nicht als Funktion der Zeit ändert. Wir schreiben diese Eigenschaft auf das Korn Streuung, die der vorherigen Arbeit an Ni ähnlich ist-Superlegierungen auf Basis [21,43] und Aluminium Legierungen [44,45]. Das Kornwachstum in IN625 ist minimal bei Temperaturen unter 900 ◦ C [46]. Daher wird erwartet, dass die Kornstreuung stabil ist, was mit experimentellen Beobachtungen übereinstimmt. Zweitens beobachteten wir eine monotone Zunahme der Streuintensität zwischen ≈ 4 215Zimmer; 10 − 4 im Kombibereich 1977; − 1 und ≈ 0.01 Einzelteile, − 1, insbesondere mit zwei Guinier-Regionen in der Nähe von 2 − 3.1977, − 1 und 8 €215; 10 − 3.1977, − 1 bzw. Da die In-situ-XRD-Daten und die Ex-situ-SEM-Bilder nur die Phasenausschläge zeigen, geben wir dieses Streuungssignal der Phase Offset-948an. Bisherige mikroskopische Studien haben ergeben, dass die Präzisierungen in der Phase im Bereich der Anonymität 948Thrombozyten mit zwei charakteristischen Größen [10,21,47], die mit der Beobachtung von zwei Guinierregionen in den Streudaten übereinstimmen. Schließlich sind die im Inset gezeigten SAXS-Daten einfache Erweiterungen der hohen q-Leistung-Neigung des Gesetzes in den USAXS-Daten; d.h. die SAXS-Daten enthalten keine zusätzlichen Informationen, die darauf hindeuten, dass keine zusätzliche nm-bei dieser Wärmebehandlung gebildete Niederschläge.
Abbildung 6. In situ SAXS Daten von AM IN625, die während der isothermen Wärmebehandlung bei 700 erfasst werden ◦ C für 10.5 h. Die Hauptplatine und die Einlage zeigen die USAXS- bzw. SAXS-Daten. Die Erwerbszeit ist Farbe-kodiert nach dem Zeitpfeil. Die USAXS-Intensität wird aufgeschlitzt-verschmiertNein.
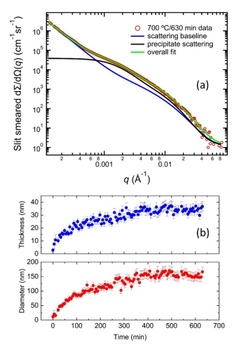
Wir haben ein Streumodell entwickelt, um die Streudaten anhand dieser Beobachtungen zu beschreiben, wie in Abbildung 7a dargestellt. Dieses Modell besteht unter Verwendung der bei 630 min gewonnenen USAXS-Daten als Beispiel aus zwei Komponenten. Die erste Komponente ist die Streulinie, die bei Zimmertemperatur vor der Wärmebehandlung auf demselben Probenvolumen gewonnen wird. Die zweite Komponente ist die überschüssige Streuung, die aus den Vorsatzphasen im Vergleich zur Endphase hervorgeht. Wie bereits festgestellt [21], haben wir diese Überschussstreuung mit einem Analyseansatz beschrieben, der dem vereinheitlichten Smallwinkelstreuungsverfahren mit zwei Streuebenen entspricht [48]. Zusammen, diese zwei-Komponentenmodell beschreibt die in situ SAXS-Daten gut durch die gesamte DatensequenzNein.
Abbildung 7. a) Abbildung des in dieser Arbeit verwendeten SAXS-Modells. Die Daten wurden bei 630 min während der Wärmebehandlung bei 700 erfasst ◦ C. Die Überdeckstreuung besteht aus zwei Teilen: (1) Streuung der Ausgangslinie und (2) überschüssige Streuung von der Ebene der Ebene der Ebene der Ebene des Gesamtumfangs;Ausfällungen der Phase. b) Die Zeit-abhängig von der Entwicklung des mittleren Durchmessers (größere Dimension) und der Dicke (kleinere Dimension) des Kombi-948Niederschlags;Nein.

Berufsbezeichnung: Product manager
Abteilung: Market Department
Firma Telefon: +86 021-59150215
E-Mail: Kontaktiere uns
Mobiltelefon: +86 13817160919
Webseite: lanzhusuperalloy.b2bde.com
Adresse: No. 2800 Caoxin Road, Xuhang Town, Jiading District, Shanghai