Introduction
Die wichtige Richtung in Vibrodiagnostik der Fluggasturbinentriebwerke und Turbomaschinen ist diagnostics durch Modellierung. Modellierung eine Gelegenheit gibt, die Anwesenheit von einigen Arten von Maschinenfehlern mit Zeichen seiner Anwesenheit in dem Vibrationssignal zu verbinden. Ein solcher Fehler ist Riss Aussehen in den Wellen der Flugmotoren und Turbomaschinen, die Unzulässigkeits ist. So ist die wichtigste Aufgabe des Diagnosesystems ist Riss in der Zeit zu erkennen und seine Fortschritte prognostiziert.
Appearance des Risses in dem Rotor führt zu einer lokalen Abnahme Steifigkeit. Wert der Steifigkeit Verlust hängt von geometrischen Eigenschaften des Risses. Wenn statische Last wie Gewichtskraft aufgebracht wird, crack öffnet und schließt, während sich der Rotor dreht. Im Ergebnis ändert sich die Wellensteifigkeit pro Zyklus. Riss in dem Rotorsystem führt zu den following Änderungen in Schwingungssignal [1]:
·increase in Amplitude 1x Harmonischen der Rotationsgeschwindigkeit aufgrund des Wachstums die statischen Ablenkung durch Steifigkeitsabnahme verursacht.
·appearance von 2x Komponente der Geschwindigkeit rotierender aufgrund von asymmetrischer Rotorsteifigkeit.
·appearance von 3х Komponente der Geschwindigkeit rotierenden aufgrund zyklischen Öffnen und Schließen des Risses.
Die Hauptaufgabe des mathematischen Modells ist die Beschreibung von Wert und Recht der lokalen Änderung der Steifigkeit in
Die Ort where Riss erfolgt so viele Faktoren wie möglich berücksichtigen.
Es gibt mehrere Ansätze zum Simulieren Risse. Im einfachsten Fall Riss wird durch Abnahme der radiale Steifigkeit der gesamten Welle [2,3,4] simuliert. In den anderen Fällen wird der Wellenteil, where Riss erfolgt, ist Replace d durch ein äquivalentes Balkenelement. Koeffizienten Steifigkeitsmatrix eines solchen Elementes einnehmen berechnet Risses berücksichtigt und Änderung pro Zyklus. In der Arbeit [5] Berechnung der Steifigkeitsmatrix des Balkenelementes mit Risse auf der Verwendung von Trägheitsmomenten des Trägerabschnittes basierend Berücksichtigung Risse. In der Arbeit [6] Steifigkeitsmatrix eines solchen Elementes wird auf der Grundlage der Gleichungen der Mechanik der festen Körper Zerstörung berechnet. Riss kann durch elastisches Verbindungsglied Randabschnitte des Schafts an der Stelle seiner Lage und gibt den Riss Moment Steifigkeit [7,8] simuliert werden.
Ändern in Risse Steifigkeit an seiner Öffnung abhängig und Schließen während des Rotor auf unterschiedliche Weise mathematisch beschrieben werden kann, dreht. Im einfachstenen Fall kann angenommen werden, dass Rissnur zwei Positionen hat: ganz opened oder vollständig geschlossen ist, und Sprungfunktion angewandt werden kann, deren Steifigkeitsänderung mathematisch zu beschreiben, [4].
work [3] beschreibt die meisten Ausbreitungsmodelle von Steifigkeit zu ändern. Einer von ihnen ist Gasch Gleichung. Ändern
in Steifigkeit erfolgt in Abhängigkeit von dem Winkel zwischen Phase der statischen Kraft und Risse Phase und um 17 Harmonischen der Fourier-Reihe beschrieben ist. Der gleiche Artikel gibt Maes&Davies Gleichung where Steifigkeitsänderungen jenach Winkelnach Kosinusgesetz. In der Änderungen Steifigkeit Yang Modell durch den Cosinusgesetz in Grad der relativen Risstiefe.
Die Artikel entwickelt das Rissmodell auf der Basis von existed Ansätze und stellt auch die Methodik das gibt Gelegenheit Highlight Zeichen verwendet, um seine Bedingung für den genauen Rotor zu erfassen.
Die Algorithmus wird in die Dynamik R4-Software-Programm enthalten [9], die die dedizierte
Das System über die Berechnung des dynamischen Verhaltens von komplexen Rotorsysteme darstellt.
Crack Modell
within die Accepted Simulations Konzeption, Riss in dem Wellenmodell wird durch eine elastische Verbindung Dividieren die Welle in zwei Abschnitte und beschreibt, die durch Steifigkeitsmatrix mit variablen ersetzt Koeffizienten. Wenn es keinen Riss, Dehnungskompatibilitätsbedingung zwischen den Abschnitten der Wellenteile durchgeführt wird, so dass alle gegenseitigen Verschiebungen verboten sind. Wir stellen rotierendes Koordinatensystem ηOε in dem Rissbereich liegend, Bild 1. Sein Ursprung fällt mit dem Ursprung des XYZ-System fixierte koordinieren. Die Welle führt zwei Bewegungen - richtige Rotation und Präzession um die Z-Achse. Wenn Riss beschreiben betrachten wirnur eine Drehung um η und ε Achsen. Auslenkungen in anderen Freiheitsgraden werden vernachlässigt.
figure 1. Riss Abschnitt
Flexibility Matrix der Verbindung in dem rotierenden Koordinatensystem Riss simuliert, kann als \\ geschrieben werdenn following:
wher &101;# q j=a- Unterschied in Phasen,- j Wellendrehwinkel,- a Präzessionswinkel;- gee (q) und ghh (q )variable- coefficients Momente Flexibilität.
Flexibility hängt von Winkel qbecause, während sich die Welle dreht, crack öffnet und schließt. Steifigkeitsmatrix wird durch Invertierung der[GR(q)] erhaltenmatrix undnull Flexibilitätskoeffizienten bei die Hauptdiagonale führt zu Gewinnung von Steifigkeitskoeffizienten bis ins Unendliche gehen. Wir beschränken Wert solcher Steifigkeitskoeffizienten von 1е10 Nm; Diese Annahme hat keinen Einfluss auf das Ergebnis deutlich, das heißt, wir erhalten/
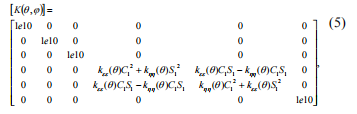
Stiffness Matrix in den festen Koordinatensystem transformiert wird, die unter Verwendung von folgende Gleichung:
wher &101;#[T]Rotationsmatrix (4), wher-&101;#C1=COs (j)S1=sin (j)
Multiplying Matrizen in Übereinstimmung mit der Gleichung (3) erhalten wir:.
Wir führen einige Transformationen aus, die Möglichkeit geben, die einfacheren Beschreibung des Risses passieren stiffness Matrix und den Algorithmus von seinen Koeffizienten Erlangungs. In Übereinstimmung mit dem Modell Maes, it may dass radiale Flexibilität des kreisförmigen Strahl mit Risses ändert sich von Minimal- bis Maximalwert von Kosinusgesetz angenommen werden.
wher &101;#g0Flexibilität des Balkens ohne Riss (Minimalwert),-\\ GGÜFlexibilität des Strahls mit offenen- crack (Maximalwert).
Wir ersetzen Riss durch ein Scharnier mit zur Zeit Steifigkeit kInit mh . Die Strahlrandbedingungen sollten ihreliefern statical Definierbarkeit, wie es in dem 2
figure 2 gezeigt . der Ersatz des Risses durch Scharnier
und radiale Flexibilität mit offenem Risse Schnitt der Welle wird hervorgehoben, erhält wie:
wher 101;&#EE-Modul,-Idiametraler Trägheitsmoment des Wellenabschnittes,-k Init MH Koeffizienten Moment Steifigkeit einer äquivalenten Zwischenverbindung vollständig offenen Riss entspricht.

Berufsbezeichnung: Product manager
Abteilung: Market Department
Firma Telefon: +86 021-59150215
E-Mail: Kontaktiere uns
Mobiltelefon: +86 13817160919
Webseite: lanzhusuperalloy.b2bde.com
Adresse: No. 2800 Caoxin Road, Xuhang Town, Jiading District, Shanghai